분류 전체보기 21

짝치환과 홀치환의 성질 증명 (ft. 15퍼즐)

짝치환(even permutation)이란, 짝수 개의 호환의 곱으로 나타나는 치환이고, 홀치환(odd permutation)이란, 홀수 개의 호환의 곱으로 나타나는 치환이다. 이렇게 짝치환과 홀치환이 well-defined 되기 위해서는, 어떤 치환이 짝치환이면서 홀치환일 수 없다는 증명이 필요하다.일반적인 증명 방법과 다르게, 샘 로이드의 15퍼즐에서 아이디어를 얻은 조금 다른 증명을 소개한다. 증명어떤 치환 $\sigma$를 다음과 같은 1행 표기법으로 표현하자.$$\sigma = \left( \sigma(1)\quad \sigma(2)\quad \cdots\quad \sigma(n) \right)$$이러한 치환 $\sigma$를 단순히 일종의 수열이라고 생각할 때,$$f(k) := k\tex..

공부/수학 2025.06.24

WSL(Ubuntu)에 MariaDB 설치 오류 해결 (ERROR 2002 (HY000))

최근 웹 개발을 위해 윈도우에 Ubuntu를 WSL을 이용하여 설치할 일이 있었다. Ubuntu 22.04는 아주 잘 설치되었는데, MariaDB는 아무리 설치해도 실행이 안 되는 문제가 발생했다.인터넷을 아주 많이 찾아보았는데, 나와 완전히 같은 케이스를 발견할 수 없었기 때문에 어떻게 해결했는지 적어보려고 한다. 물론 왜 이런 오류가 발생하는지는 아직 모르겠다. MariaDB 설치간단한 코드 두 줄이면 설치된다. sudo apt updatesudo apt install mariadb-server mariadb-client그리고 이제 다음 코드로 접속되는지 확인해 보면,sudo mariadbERROR 2002 (HY000): Can't connect to local MySQL server through..

컴퓨터 TIP 2025.03.03

보드게임 다빈치코드 잘 하는법

대표적인 고전 숫자 보드게임으로는 '루미큐브'와 '다빈치코드'가 있다.나는 두 게임 모두 좋아하는데, 루미큐브는 모바일 게임이 잘 되어있는 반면 다빈치코드도 있긴 한데 활성화되지 않았다.그의 가장 큰 이유가 다빈치코드 게임은 상대를 '관찰', 그리고 '대화'하면서 얻는 힌트로 추리하는 것이 중요하기 때문이라 생각한다.다빈치코드는 상대의 숫자를 막 찍어 맞추는 운적 게임이 아니다.상대를 면밀히 관찰하면서 얻는 힌트를 바탕으로 전략적 플레이를 해야 한다. (물론 운적 요소를 배제할 수는 없다) 나는 웬만한 사람을 1:1로 플레이할 때, 80% 이상의 확률로 이길 수 있다고 자부한다.나의 경험을 바탕으로 한 다빈치코드 전략을 소개한다. 다빈치코드 전략1. 처음 상대가 까는 패는 가장 말단의 숫자다.예를 들어,..

일상 2025.02.08

Mosaic Cube(모자이크 큐브) 제작 후기

Mosaic Cube, 모자이크 큐브는 루빅스 큐브 여러 개를 조합해 특정 그림을 만드는 것이다. 보통 3×3×3 큐브에서 각 큐브마다 특정 모양을 만들고, 이어 붙여서 만든다.예전부터 해보고 싶었는데, 입시도 끝난 겸 해서 만들어보기로 했다.  STEP 1. 큐브 사기먼저 큐브를 구매해야 하는데, 보통 큐브를 맞출 때 쓰는 일반 사이즈의 큐브는 너무 크기도 하고, 비싸서 작은 큐브를 대량 구매해야 한다. 여기서 '작은 큐브'란 각 모서리가 3cm 정도인 것으로, 찾아보면 국외에 좀 있다. 나는 aliexpress에서 144개 단위로 20000원 안쪽에 팔아서, 두 팩을 샀다. (인당 한 팩만 살 수 있다고 뜨는데, 다음 날에 다시 한 번 사면 된다.) 다른 곳은 이것보다 훨씬 비싸다. 개당 400원에서..

일상 2024.12.03

도르래(atwood machine) 문제의 기본

뉴턴 역학을 공부할 때 반드시 만나게 되는 도르래 문제.$ F=ma $라는 기본적인 식만 쓰면 되지만, 나도 처음 물리를 공부할 때 어려움을 겪었던 기억이 있다.이 글에서는 도르래 문제를 풀 때 아무도 알려주지 않았던 개념과 테크닉을 소개하여 도르래를 더 잘 이해하고, 문제를 쉽게 접근하는 데 도움이 되고자 한다. 줄과 도르래의 질량을 무시하는 이유도르래 문제를 풀 때, 흔히 줄과 도르래의 질량을 무시한다는 서술이 붙는다. 별 생각없이 문구를 가볍게 생각하기 쉽지만, 중요한 물리적 의미가 있다.먼저 줄의 질량을 무시한다는 것은 무엇일까? 줄은 힘의 방향을 바꿔줄 뿐이라는 의미가 있다. $ F=ma $라는 식에서 생각해보면, $ m=0 $이므로 $F_{net}=0$이다. 그러므로 연결된 줄에서 장력은 일정..

공부/물리 2024.07.01

구글 드라이브 보기전용 보호된 PDF 다운로드 (에러해결)

인터넷에 보기 전용(view-only) 구글 드라이브 pdf를 다운로드하는 방법을 검색하면 많이 나온다. 개발자 도구의 콘솔 창에서 명령어를 입력하여 pdf를 한장한장 이미지로 저장하고, 그 이미지를 다시 pdf로 저장하는 간단한 방식이다. 아래 글이 원글인 모양인데, 그 외에도 많은 사람들이 개인 블로그나 깃헙에 공유한 걸 확인할 수 있다. https://codingcat.codes/2019/01/09/download-view-protected-pdf-google-drive-js-code/ How to download view only protected PDF from Google Drive (JS code) - Coding Cat I’ve had some document that I couldn’t ..

컴퓨터 TIP 2024.04.09

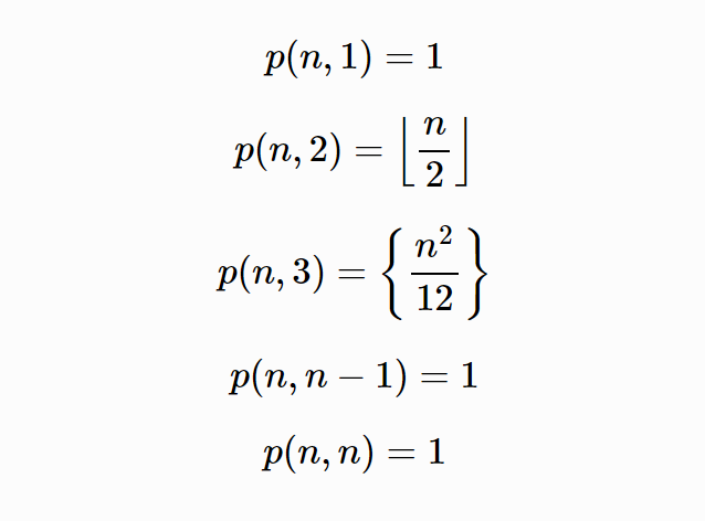
자연수의 분할과 P(n,3) 공식 증명

자연수의 분할 $p(n,k)$란? 자연수 $n$을 $k$개의 자연수로 분할하는 방법의 수를 $ p(n,k) $ 라고 한다. 자연수의 분할에서 순서는 구별하지 않는데, 예를 들어 $$ 6=4+1+1=3+2+1=2+2+2 $$이므로 $p(6.3)=3$이 된다. 공-상자 이론으로 설명해보면, $p(n,k)$는 구별되지 않는 $n$개의 공을 구별되지 않는 $k$개의 상자에 담을 때 빈 상자가 없도록 담는 경우의 수와 같다. 자연수의 분할 공식 자연수의 분할에는 많은 공식이 있다. 그 중 직접적으로 $p(n,k)$를 구하는 공식을 살펴보면, 다음과 같다. $$ p(n,1)=1 $$ $$ p(n,2)=\left\lfloor \frac{n}{2} \right\rfloor $$ $$ p(n,3)=\left\{ \fra..

공부/수학 2024.02.15

카카오톡에는 글자 수 제한이 있을까?

카카오톡으로 문자를 보낼 때 글자 수 제한이 있을까? 아무도 실험을 안해봐서 그런지 인터넷에 어떤 정보도 안나온다... 결론부터 말하자면, 한 번 메시지를 보낼 때 (적어도 PC에서) 글자 수는 65536자로 제한된다. 궁금했던 이유 카카오톡이 '톡서랍' 이용을 권장하기 위해서 그런지 예전에 보냈던 파일의 만료 시간이 생각보다 너무 짧다. 그래서 필요한 파일을 날린 경우도 꽤 많았다. 반면 단순 텍스트 메시지의 경우 아무리 예전 메시지라도 없어지지 않고 보존된다. 내가 냈던 아이디어는 파일을 메시지의 형태로 보내는 것이였다. CTF에서 포렌식 문제를 풀 때 필수 툴인 헥스 에디터(HxD)를 사용해 어떤 파일을 16진법으로 까보자. 긴 문자열 자체가 파일을 나타내는 것이니 파일을 보내도 (약간 번거롭긴 하..

컴퓨터 TIP 2024.02.09

[python] pyautogui를 이용한 매크로

pyautogui라는 라이브러리로 마우스와 키보드를 자동화하는 간단한 매크로를 만들 수 있다. 보통 '매크로'하면 python의 Selenium 라이브러리를 떠올린다. Selenium 만큼 효과적인 웹 매크로는 아니다. pyautogui는 마우스를 모니터의 좌표 기준으로 움직이기 때문에, 다른 컴퓨터에서 똑같이 작동하지 않는다는 한계가 있다. 그러나 셀레니움처럼 HTML을 확인하는 일 없이 간단하게 제작할 수 있다. 여건이 된다면 수강신청 같은 걸 할 때 요긴하게 쓸 수 있다. 설치 우선 pyautogui를 설치해야 한다. python 터미널에 다음과 같이 입력해보자. pip install pyautogui 또한 time 라이브러리의 sleep 함수도 중요하게 쓰인다. time 라이브러리는 python ..

공부/정보과학 2024.02.09

Plain Thru를 시작합니다

간단 자기소개 2024년 기준 영재학교 3학년 학생. 열 개가 넘는 글을 올렸지만 이 티스토리와 나에 대한 소개를 처음 해 본다. 영재학교 고3답게 공부는커녕 놀고 있다...ㅎㅎ 고3은 학기 중에 시간이 많기 때문에 앞으로 나만 재밌는 글을 자주 쓸 예정이다. 블로그 이름? 'Plain Thru'라는 블로그 이름은 Drive Thru에서 'Drive'를 'Plain'이라는 수식어로 교체해서 만들었다. 'Plain'에는 나의 콘텐츠를 복잡하지 않고 솔직하고 간결하게 가져가고 싶은 생각이 담겨 있다. 또, '평범한 삼각형'이라는 역설처럼 평범하기가 비범하기보다 어렵다는 언어유희적인 느낌이 들도록 블로그 이름을 짓고 싶었다. 반면 'Thru'는 무언가 깊이 파고든다는 뜻이다. 블로그의 목적 물리랑 정보과학에 ..

일상 2024.02.09